AVL Tree
- Binary Tree의 한 종류
- Left-Subtree와 Right-Subtree의 균형을 유지
- 임의의 node의 subtree height 차이는 2이하
- BF(Balance Factor) 통해서 Tree 균형 유지
- BF = "Left_SubTree_Height" - "Right_SubTree_Height"
- BF = -1 ~ +1 사이의 값을 유지
- Left/Right Rotation과 recursive로 구현
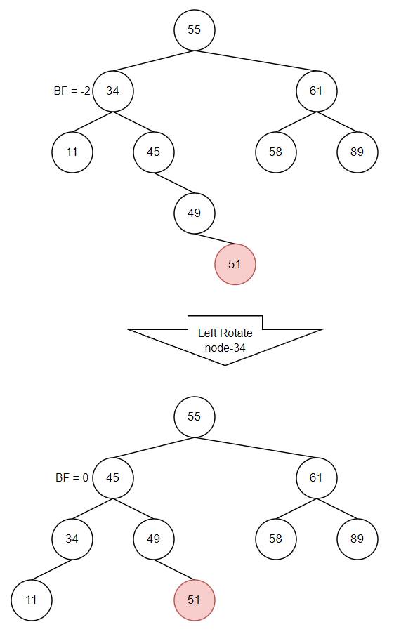
Rotate Operation

- Balance가 무너진 4가지의 경우 및 수정 방법 (LL, RR, LR, RL)

Insert
- 이진 탐색을 통해서 신규 node를 위치시키고, 4가지 규칙 중 하나를 적용하여 Tree 수정

Delete
- 지우려는 node의 child 갯수에 따라서 처리 (0개, 1개, 2개)
Child 갯수 == 0
: 해당 node를 지우고, root로 이동하면서 Balance 유지 작업수행

Child 갯수 == 1
: 자식을 해당 위치로 이동시킴, root로 이동하면서 Balance 유지 작업수행

Child 갯수 == 2
: 우측 subtree에서 최솟값을 찾아서 해당 node로 이동시킴, root로 이동하면서 Balance 유지 작업 수행

구현 / Source Code
avl_tree.h
#ifndef _AVL_TREE_H_
#define _AVL_TREE_H_
typedef struct node_t node_t;
struct node_t {
void* data;
node_t* parent;
node_t* left;
node_t* right;
/* height */
int h;
};
typedef struct avl_tree_t avl_tree_t;
struct avl_tree_t {
node_t* root;
/*
* if (a > b)
* return +1;
* if (a < b)
* return -1;
* if (a == b)
* return 0;
*/
int (*compare)(void* a, void* b);
};
void avl_tree_init(avl_tree_t* tree, int (*compare)(void* a, void* b));
void avl_insert(avl_tree_t* tree, void* data);
void avl_delete(avl_tree_t* tree, void* data);
void avl_tree_destroy(avl_tree_t* tree);
void avl_for_each_inorder(avl_tree_t* tree, void (*probe)(void* data));
void avl_for_each_postorder(avl_tree_t* tree, void (*probe)(void* data));
void* avl_leftmost(avl_tree_t* tree);
void* avl_rightmost(avl_tree_t* tree);
#endif
avl_tree.c
#include <stdlib.h>
#include "avl_tree.h"
static int height(node_t* n)
{
if (n == NULL)
return 0;
return n->h;
}
static int get_bf(node_t* n)
{
if (n == NULL)
return 0;
return height(n->left) - height(n->right);
}
/* Rotating relative to y, return new top of subtree */
static node_t* right_rotate(node_t* y)
{
node_t* x = y->left;
node_t* t = x->right;
x->right = y;
y->left = t;
x->parent = y->parent;
y->parent = x;
if (t)
t->parent = y;
y->h = max(height(y->right), height(y->left)) + 1;
x->h = max(height(x->right), height(x->left)) + 1;
return x;
}
/* Rotating relative to x, return new top of subtree */
static node_t* left_rotate(node_t* x)
{
node_t* y = x->right;
node_t* t = y->left;
x->right = t;
y->left = x;
y->parent = x->parent;
x->parent = y;
if (t)
t->parent = x;
x->h = max(height(x->left), height(x->right)) + 1;
y->h = max(height(y->left), height(y->right)) + 1;
return y;
}
static node_t* avl_alloc_node(void* data)
{
node_t* n = (node_t*)malloc(sizeof(node_t));
if (!n)
return NULL;
n->data = data;
n->left = NULL;
n->right = NULL;
n->h = 1;
return n;
}
static void avl_free_node(node_t* n)
{
free(n);
}
static node_t* __avl_insert(avl_tree_t *tree, node_t *node, void* data)
{
int bf;
if (!node)
return avl_alloc_node(data);
if (tree->compare(node->data, data) > 0)
node->left = __avl_insert(tree, node->left, data);
else
node->right = __avl_insert(tree, node->right, data);
node->h = max(height(node->right), height(node->left)) + 1;
bf = get_bf(node);
if (bf > 1) {
if (tree->compare(node->left->data, data) > 0)
return right_rotate(node);
else if (tree->compare(data, node->left->data) > 0) {
node->left = left_rotate(node->left);
return right_rotate(node);
}
}
if (bf < -1) {
if (tree->compare(data, node->right->data) > 0)
return left_rotate(node);
else if (tree->compare(node->right->data, data) > 0) {
node->right = right_rotate(node->right);
return left_rotate(node);
}
}
return node;
}
void avl_insert(avl_tree_t* tree, void* data)
{
tree->root = __avl_insert(tree, tree->root, data);
}
static node_t* avl_min_node(node_t* n)
{
node_t* current = n;
while (current->left)
current = current->left;
return current;
}
static node_t* __avl_delete(avl_tree_t* tree, node_t* n, void* data)
{
int bf;
if (!n)
return NULL;
if (tree->compare(n->data, data) > 0)
n->left = __avl_delete(tree, n->left, data);
else if (tree->compare(n->data, data) < 0)
n->right = __avl_delete(tree, n->right, data);
else {
if (!n->left || !n->right) {
node_t* temp = n->left ? n->left : n->right;
if (!temp) {
temp = n;
n = NULL;
} else
*n = *temp;
avl_free_node(temp);
} else {
node_t* temp = avl_min_node(n->right);
n->data = temp->data;
n->right = __avl_delete(tree, n->right, temp->data);
}
}
if (!n)
return NULL;
n->h = max(height(n->left), height(n->right)) + 1;
bf = get_bf(n);
if (bf > 1) {
if (get_bf(n->left) >= 0)
return right_rotate(n);
else {
n->left = left_rotate(n->left);
return right_rotate(n);
}
}
if (bf < -1) {
if (get_bf(n->right) <= 0)
return left_rotate(n);
else {
n->right = right_rotate(n->right);
return left_rotate(n);
}
}
return n;
}
void avl_delete(avl_tree_t* tree, void* data)
{
__avl_delete(tree, tree->root, data);
}
void avl_tree_init(avl_tree_t* tree, int (*compare)(void* a, void* b))
{
tree->root = NULL;
tree->compare = compare;
}
static void __avl_for_each__inorder(avl_tree_t* tree, node_t* node, void (*probe)(void* data))
{
if (!node)
return;
__avl_for_each__inorder(tree, node->left, probe);
probe(node->data);
__avl_for_each__inorder(tree, node->right, probe);
}
void avl_for_each_inorder(avl_tree_t* tree, void (*probe)(void* data))
{
node_t* node = tree->root;
__avl_for_each__inorder(tree, node, probe);
}
static void __avl_for_each__postorder(avl_tree_t* tree, node_t* node, void (*probe)(void* data))
{
if (!node)
return;
__avl_for_each__postorder(tree, node->left, probe);
__avl_for_each__postorder(tree, node->right, probe);
probe(node->data);
}
void avl_for_each_postorder(avl_tree_t* tree, void (*probe)(void* data))
{
node_t* node = tree->root;
__avl_for_each__postorder(tree, node, probe);
}
void* avl_leftmost(avl_tree_t* tree)
{
node_t* current = tree->root;
while (current->left)
current = current->left;
return current->data;
}
void* avl_rightmost(avl_tree_t* tree)
{
node_t* current = tree->root;
while (current->right)
current = current->right;
return current->data;
}
static void __avl_destroy(avl_tree_t* tree, node_t* node)
{
if (!node)
return;
__avl_destroy(tree, node->left);
__avl_destroy(tree, node->right);
avl_free_node(node);
}
void avl_tree_destroy(avl_tree_t* tree)
{
__avl_destroy(tree, tree->root);
}
main.c
#include <stdio.h>
#include <stdlib.h>
#include "avl_tree.h"
/* user defined data and operator */
struct data_t {
int key;
};
struct data_t* alloc_data(void)
{
return (struct data_t*)malloc(sizeof(struct data_t));
}
void free_data(void* data)
{
free(data);
}
/*
* if (a > b)
* return +1;
* if (a < b)
* return -1;
* if (a == b)
* return 0;
*/
int data_compare(void* a, void* b)
{
struct data_t* _a = (struct data_t*)a;
struct data_t* _b = (struct data_t*)b;
return _a->key - _b->key;
}
void data_print(void* d)
{
struct data_t* data = (struct data_t*)d;
printf("%d ", data->key);
}
/* main */
enum menu_e {
INSERT = 1,
DELETE,
MINIMUM,
MAXIMUM,
PRINT_IN_ORDER,
EXIT = 99,
};
void print_main_menu(void)
{
printf("::: MENU :::\n");
printf("%d. insert\n", INSERT);
printf("%d. delete\n", DELETE);
printf("%d. minimum\n", MINIMUM);
printf("%d. maximum\n", MAXIMUM);
printf("%d. print(in order)\n", PRINT_IN_ORDER);
printf("------------\n");
printf("%d. exit\n", EXIT);
printf("------------\n");
}
int main()
{
struct avl_tree_t avl_tree;
avl_tree_init(&avl_tree, data_compare);
while (1) {
int select;
print_main_menu();
scanf("%d", &select);
switch (select)
{
case INSERT:
{
int key;
printf("input value : ");
scanf("%d", &key);
struct data_t* data = alloc_data();
if (data) {
data->key = key;
avl_insert(&avl_tree, data);
}
else
printf("memory alloc fail\n");
}
break;
case DELETE:
{
int key;
printf("input value : ");
scanf("%d", &key);
struct data_t* data = alloc_data();
if (data) {
data->key = key;
avl_delete(&avl_tree, data);
free_data(data);
}
else
printf("memory alloc fail\n");
}
break;
case MINIMUM:
{
struct data_t* data = avl_leftmost(&avl_tree);
if (data)
printf("minimum = %d\n", data->key);
}
break;
case MAXIMUM:
{
struct data_t* data = avl_rightmost(&avl_tree);
if (data)
printf("maximum = %d\n", data->key);
}
break;
case PRINT_IN_ORDER:
{
printf("print in order : \n");
avl_for_each_inorder(&avl_tree, data_print);
printf("\n");
}
break;
case EXIT:
{
goto out;
}
break;
default:
break;
}
printf("\n");
}
out:
avl_for_each_postorder(&avl_tree, free_data);
avl_tree_destroy(&avl_tree);
}
참고 및 출처
https://www.programiz.com/dsa/avl-tree
AVL Tree
AVL Tree In this tutorial, you will learn what an avl tree is. Also, you will find working examples of various operations performed on an avl tree in C, C++, Java and Python. AVL tree is a self-balancing binary search tree in which each node maintains extr
www.programiz.com
https://www.cs.usfca.edu/~galles/visualization/AVLtree.html
AVL Tree Visualzation
www.cs.usfca.edu
https://code-lab1.tistory.com/61
[자료구조] AVL트리란? AVL트리 쉽게 이해하기, AVL트리 시뮬레이터
AVL 트리란? 예전에 이진탐색트리에 대해 알아본적이 있다. [자료구조] 이진탐색트리(Binary Search Tree)의 개념, 이해 | C언어 이진탐색트리 구현 이진탐색트리(Binary Search Tree)이란? 이진탐색트리란
code-lab1.tistory.com
https://blog.csdn.net/weixin_44024891/article/details/104910691
AVLtree(平衡二叉树)_GlorygloryGlory的博客-CSDN博客_avltree
AVLtree是一个 “加了额外平衡条件” 的二叉搜索树, 相对于二叉树搜索树而言, 在设计的时候可以说是节点信息添加了平衡因子(也就是个int变量)这个概念。 我们在设计节
blog.csdn.net
https://github.com/xieqing/avl-tree
GitHub - xieqing/avl-tree: An AVL Tree Implementation In C
An AVL Tree Implementation In C. Contribute to xieqing/avl-tree development by creating an account on GitHub.
github.com
.
'Coding > C' 카테고리의 다른 글
| [C] Priority Queue (0) | 2025.11.16 |
|---|---|
| [C] Quick Sort (0) | 2025.11.15 |
| [C] Heap의 특정 index 값 수정 (1) | 2024.02.07 |
| [C] RB Tree 구현 (1) | 2024.02.05 |